10 tricky mathematical problems that people are still struggling to solve (11 photos)
Over the centuries, the best minds of mankind have solved one mathematical problem after another, but there are several that no one has yet solved. Some funds and companies are willing to pay a lot of money to find an algorithm for solving them.
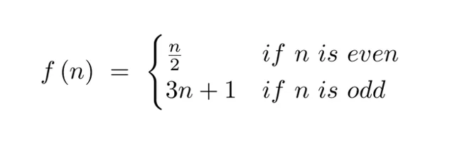
Collatz conjecture
The Collatz conjecture is one of the most difficult unsolved mathematical problems
Other names: 3n+1 conjecture, Syracuse problem, hail numbers. If you take any natural number n and perform the following transformations on it, sooner or later you will always get one. Even n must be divided in two, and odd n must be multiplied by 3 and added one. For number 3 the sequence will be: 3×3+1=10, 10:2=5, 5×3+1=16, 16:2=8, 8:2=4, 4:2=2, 2:2 =1. Obviously, if we continue the transformation from one, the cycle 1,4,2 will begin. Quite quickly, the number of steps in the calculations begins to exceed one hundred and solving each new sequence requires more and more resources.
Little progress in solving this almost century-old problem began just last month. However, the famous American mathematician Terrence Tao only came closest to it, but still did not find the answer. The Collatz hypothesis is the foundation of such a mathematical discipline as "Dynamical Systems", which, in turn, is important for many other applied sciences, for example, chemistry and biology. The Syracuse problem seems like a simple, innocuous issue, but that's what makes it special. Despite all attempts, this problem still remains the most famous unsolved mathematical problem.
Goldbach problem (binary)
This drawing illustrates Goldbach's unsolved mathematical problem, which scientists are still scratching their heads over.
Another problem, the formulation of which looks simpler than a steamed turnip - any even number (greater than 2) can be represented as the sum of two prime ones. And this is the cornerstone of modern mathematics. This statement can be easily checked mentally for small values: 18=13+5, 42=23+19. Moreover, considering the latter, you can quickly understand the full depth of the problem, because 42 appears as 37+5 and 11+31, and also as 13+29 and 19+23. For numbers larger than a thousand, the number of pairs of terms becomes simply enormous. This is very important in cryptography, but even the most powerful supercomputers cannot iterate over all values ad infinitum, so some clear proof is needed for all natural numbers.
The problem was formulated by Christian Goldbach in his correspondence with another great luminary of mathematics, Leonhard Euler, in 1742. Christian himself put the question somewhat simpler: “every odd number greater than 5 can be represented as the sum of three prime numbers.” In 2013, Peruvian mathematician Harald Helfgott found the final solution to this option. However, the consequence of this statement proposed by Euler, which was called the “binary Goldbach problem,” still defies anyone. This is one of the oldest unsolved mathematical problems of mankind.
Twin Numbers Conjecture
Mathematicians have not yet been able to prove the hypothesis about twin numbers, so it is classified as an unsolved mathematical problem
Gemini are those prime numbers that differ by only 2. For example, 11 and 13, as well as 5 and 3 or 599 and 601. If the infinity of a series of prime numbers has been proven many times since antiquity, then the infinity of twin numbers is in question. Starting from 2, there are no even prime numbers among the prime numbers, and starting from 3, there are no prime numbers divisible by three. Accordingly, if you subtract from the series everything that fits the “division rules,” then the number of possible twins becomes ever smaller. The only modulus for the formula for finding such numbers is 6, and the formula looks like this: 6n±1.
As always in mathematics, if a problem cannot be solved head-on, it is approached from the other end. For example, in 2013 it was proven that the number of prime numbers differing by 70 million is infinite. At the same time, with a difference of less than a month, the value of the difference was improved to 59,470,640, and then by an order of magnitude - to 4,982,086. At the moment, there are theoretical justifications for the infinity of pairs of prime numbers with a difference of 12 and 6, but it has been proven is only the difference of 246. Like other problems of this kind, the twin number conjecture is especially important for cryptography. However, it still remains an unsolved mathematical problem, which the best minds are struggling with.
Riemann hypothesis
The Riemann Hypothesis is the most famous and unassailable unsolved problem in mathematics. There is a big reward for her solution.
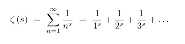
In short, Bernhard Riemann proposed that the distribution of prime numbers over the set of all natural numbers does not obey any laws. But their number in a given area of a number series correlates with the distribution of certain values on the zeta function graph. It is located above and for each s it gives an infinite number of terms. For example, when 2 is substituted for s, the result is an already solved “Basel problem” - a series of inverse squares (1 + 1/4 + 1/9 + 1/16 + ...).
One of the “problems of the millennium”, for the solution of which there is a prize of a million dollars, as well as entry into the pantheon of “gods” of modern mathematics. In fact, the proof of this hypothesis will push number theory forward so much that this event will rightfully be called historical. Many calculations and statements in mathematics are based on the assumption that the “Riemann Hypothesis” is true, and so far they have not failed anyone. The German mathematician formulated the famous problem 160 years ago, and since then its solution has been approached countless times, but it still remains perhaps the most formidable unsolved problem in modern mathematics.
Birch and Swinnerton-Dyer conjecture
Another “millennium problem” for which the Clay Institute will award a million dollars. It is quite difficult for a non-mathematician to formulate and understand, at least in general terms, what the essence of the hypothesis is. Birch and Swinnerton-Dyer proposed certain properties of elliptic curves. The idea was that the rank of a curve can be determined by knowing the order of zero of the zeta function. As they say, nothing is clear, but very interesting.
Elliptic curves are those lines on a graph that are described, at first glance, by harmless equations of the form y²=x³+ax+b. Some of their properties are extremely important for algebra and number theory, and solving this problem can seriously advance science forward. The greatest progress in finding an answer to this unsolved mathematical problem was achieved in 1977 by a team of mathematicians from England and the USA, who were able to find a proof of the Birch and Swinnerton-Dyer conjecture for one of the special cases.
Problem of dense packing of equal spheres
This photograph illustrates the unsolved mathematical problem of close packing of spheres
This is not even one, but a whole category of similar problems. Moreover, we encounter them every day, for example, when we want to arrange fruit on a shelf in the refrigerator or arrange bottles on a shelf as densely as possible. From a mathematical point of view, it is necessary to find the average number of contacts ("kisses", also called contact number) of each sphere with the others. At the moment there are exact solutions for dimensions 1-4 and 8.
Dimension or dimension refers to the number of lines along which the balls are placed. In real life, more than the third dimension does not occur, but mathematics also operates with hypothetical values. Solving this problem can seriously advance not only number theory and geometry, but will also help in chemistry, computer science and physics. Perhaps this is one of the few unsolved mathematical problems that has a clear practical application.
The problem of decoupling
And again, a problem that occurs every day. It would seem that it’s so difficult to untie the knot? However, calculating the minimum time required for this task is another cornerstone of mathematics. The difficulty is that we know that it is possible to calculate the decoupling algorithm, but its complexity may be such that even the most powerful supercomputer will take too long to calculate.
The first steps towards solving this problem were taken in 2011 by American mathematician Greg Kuperberg. In his work, untying a knot of 139 vertices was reduced from 108 hours to 10 minutes. The result is impressive, but this is only a special case. At the moment, there are several dozen algorithms of varying degrees of efficiency, but none of them is universal. Applications of this area of mathematics include biology, particularly the folding of proteins.
The biggest cardinal
Mathematicians still cannot fully solve the problem of the largest cardinal, despite all their efforts.
What is the largest infinity? At first glance, it’s a crazy question, but it’s true - all infinities are different in size. Or rather, by power, because this is how sets of numbers are distinguished in mathematics. By cardinality we mean the total number of elements of a set. For example, the smallest infinity is the natural numbers (1, 2, 3, ...) because it only includes positive integers. There is no answer to this question yet, and mathematicians are constantly finding more and more powerful sets.
The cardinality of a set is characterized by its cardinal number or simply cardinal. There is an entire online encyclopedia of infinities and notable "limbs" named after Georg Cantor. This German mathematician was the first to discover that uncountable sets can be greater or less than each other. Moreover, he was able to prove the difference in the powers of various infinities. The problem here is to prove that there is a cardinal (or perhaps cardinals) with some given large cardinal property. Until now, this problem remains unsolved.
What's wrong with the sum of π and e?
Is the sum of these two irrational numbers an algebraic number? We've been operating with these constants for hundreds of years, but we still haven't learned everything about them. An algebraic number is the root of a polynomial with integer coefficients. At first glance, it seems that all real numbers are algebraic, but no, on the contrary. Most numbers are transcendental, that is, they are not algebraic. Moreover, all real transcendental numbers are irrational (for example, π and e), but their sum can be any.
If the previous paragraph did not give the reader a headache, then here is the continuation of the riddle - what about πe, π/e and π-e? It is also unknown, and knowing this is probably quite important for number theory. The transcendence of numbers was proved at the end of the 19th century by Ferdinand von Lindemann, along with the impossibility of solving the problem of squaring a circle. Since then, there has been no significant progress in resolving the issue.
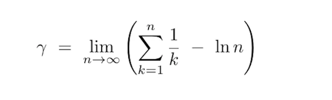
Is γ rational?
The rationality of the Euler-Mascheroni constant has not yet been proven, so this mathematical problem remains unsolved
Here's another problem that is very easy to write, but difficult to solve. Is the Euler-Mascheroni constant irrational or not? Rational numbers can be written as p/q, where p and q are integers. Thus, 42 and -11/3 are rational, but √2 is not. The formula above allows you to calculate a constant, which is the limit of the difference between the partial sum of the harmonic series and the natural logarithm of the number. Defining its rationality, of course, won’t cost you a million dollars, but you can certainly count on a professorship at Oxford.
The value of γ was calculated to several thousand decimal places, the first four of which are 0.5772. It is used quite widely in mathematics, including together with another Euler number - e. According to the theory of continued fractions, if the Euler-Mascheroni constant is a rational fraction, then its denominator must be greater than 10 to the 242,080 power. But so far it has not been possible to prove its rationality - for this we and our computers need more time. Until then, the rationality of the constant γ remains an unsolved mathematical problem.
